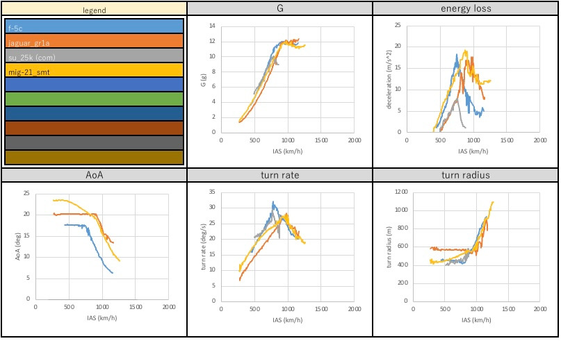
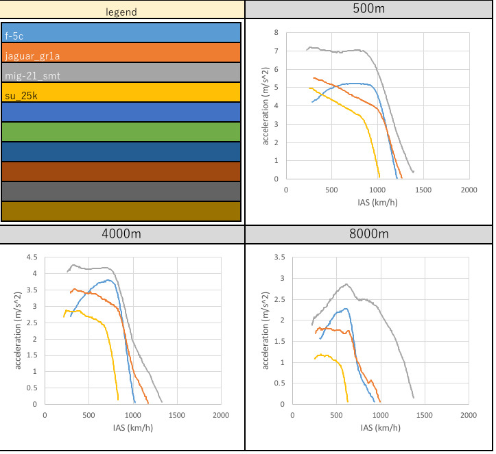
曲がらないと言う評価は一部正しくない。戦闘フラップでsmtにも迫る。ただ然程差が無くて決定力に欠けるとか加速速度が絶妙に足りないとかはあるかも(使ってないけど)
不適切なコンテンツとして通報するには以下の「送信」ボタンを押して下さい。 現在このグループでは通報を匿名で受け付けていません。 管理者グループにはあなたが誰であるかがわかります。
どのように不適切か説明したい場合、メッセージをご記入下さい。空白のままでも通報は送信されます。
通報履歴 で、あなたの通報と対応時のメッセージを確認できます。