F-4F (DE)コメント欄
https://wikiwiki.jp/warthunder/F-4F (DE)#A5_Comments
RYOKUTYA
ac8c621922
通報 ...
作成乙です〜 結局こいつはどーなんですかね?弾着連続計算機みたいなのは結局ついてないっぽい?
sparrow積めないのか…
そりゃわざわざ外したからね
コスト削減のために色々削られたから…何なら最初は単座に改造する計画だったし(そこまでやると逆に高くつくから止めた)
F-4ってめっちゃくちゃ高いんですよ・・・
Earlyが出た時はめっちゃ話題にされてページも充実してたのにいざ9Jを引っ提げて本命のF-4Fが登場してもちっとも話題にされないのかわいそう
AIM-7が改善されたのと、格闘任せられるのF-5Eが来たおかげでF-4Eが自分の得意な所に集中出来る環境できちまったからな。FvsEだったら話題になったかもだが、Fの相手がEはEでもF-5Eになっちまった。
ミグに格闘でやられてた米英日のファントムの気持ちがわかる。F-5Eに絡まれると逃げ切れない。
F5EとかMIGなんて屁でもないくらい曲がるがな
格闘強いられる構図が似てるっていっただけで曲がる曲がらないのはなしはしてない。
使いたいんだけど、39万×5を稼ぐのはRP報酬の低下も相まって無理…
CCIPの爆撃モードの照準、なんかF-4Eと違うね。
この機体でどう立ち回ってますか?登ればスパロー等レーダーミサイル、下に固まりがちの味方と一緒にいれば上からF-5系列やJワインダーが降ってくる・・・陸みたいにソ連と分離されるか、AMRAAMやMIG29辺りが来るまで米空にでも行くべきですか?
本当にとんでもない邪道で鋼の心を持ってなきゃできないけどファントムの改修は基地爆でやると稼げるぞ
それな、護符貼って基地爆すれば一日でおわる
陸RBで使ってると輝いてるよこれ。プリセットはJワインダーとマーベリックのやつ。最近多いMiG-27を4本も積めるJワインダーで片っ端からはたき落とし、マーベリックでワイルドウィーゼル役をやって味方の航空攻撃を支援する。旋回性能も陸RBみたいな狭い戦闘空域だと活かせる。
この機体11.0の価値あります?
じゃあアメリカに返してくれ。ソビエト機だけで良いよな?
こうみえて最も曲がるファントムなんだぜこいつ。しかもガンポとミサイルつけてこれだけ動ければ十分だと思うよ。乱戦にミサイル投げるもよし、すれ違いざまに機関砲をご馳走してやるのもよし。MiGにはできないパワープレーがこいつにはできる。でも飛行機の操縦やAIMに自信無いならMiG乗ってたほうが楽しいんじゃないかな。
誤差程度でしょ。MiGに曲がり勝てたっけ?
曲がらない筆頭のEJとかと比較したらさすがに全然誤差程度ではない。ミグは瞬間的には曲がるけど、すぐ息切れするしな
なんか最速の複葉機と同じにおいがする。天下一ファントム武闘会してるわけじゃないんだからさ。
機敏に曲がれることのメリットは旋回戦で勝てること以外にもあって
他にも色々あると思う。ただ一つ言えるのはこのBR帯に来て旋回戦をしたがる思考に至る↑3みたいな奴にこの機体は間違いなく乗りこなせない。そういう奴にもドイツツリーは優しくてMiGっていう選択肢を与えてるわけだからおとなしくそっちに乗っておけばいいんじゃないかな。
こんなことを言ってしまっては身も蓋もないが嫌なら乗るなってハナシですワ
F-4Fは知らんが他で一番曲がるF-4Eとmig21bisとはいい勝負だぞ
。F-4"C"系の曲がらないイメージご残ってるんじゃ無い?
mig21シリーズは最初期以外そこまで曲がらん
。曲がり初めがmigの方が素直でエイムつけ易いとかはあるかもね。
↑感覚論で煽る前に共通認識を作ろうか…。「誤差程度」が何と比較してるのか、実際どうかを正した後で運用の話だ。
↑どういう条件(燃料何分か?武装は積んでるのか?など)でどういう方法で取ったデータのか示さないとダメじゃない?これじゃ自分で同じ結果が出るか試してみようと思ってもできないじゃん。インチキかもしれないじゃんって言われたら勿体ないよね
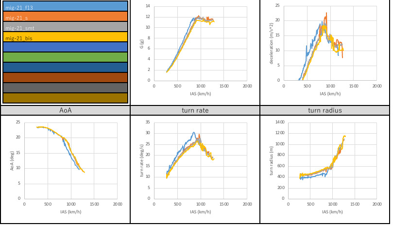
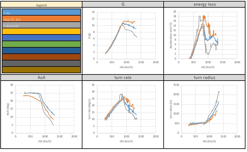
全機共通条件だよ。RB、テスフラ、参考、ガンのみ、燃料20min固定、高度500m、マウス全力旋回、水平旋回。
もちろん燃料消費速度が機体によって違うから燃料20minが厳密には共通でないし、燃料重量比が大きい小型機ほど燃料少ない時の性能向上がある。20minとした根拠は、最小燃料時はA/B炊いて2min程度しか保たず、そんな状況で悠長に格闘戦は起こらないという想定のもの。最も格闘戦が起こるだろう13min程度はテスフラプリセットが無いしね。
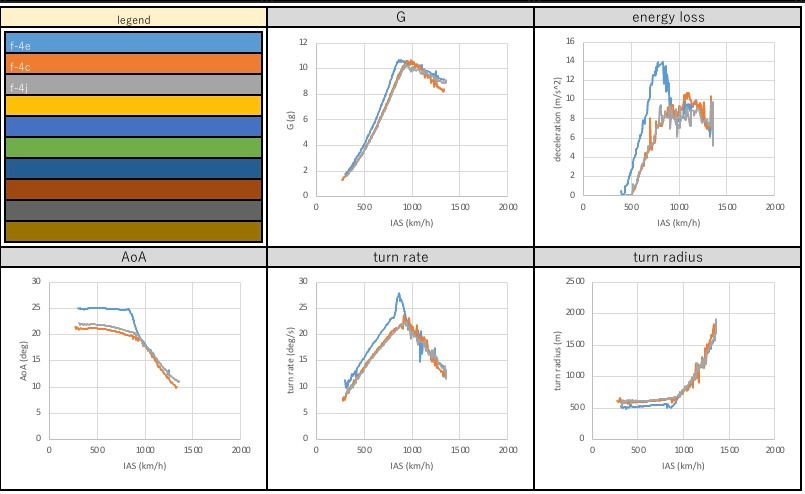
あと、加速度も載せとくが、mig-21bisも戦線復帰は苦労しないぞ。高速域のエネ損失と加速はF-4eと遜色ないからな
つまり上のデータが言ってることはMiGより武装が重くなりがちなF-4は旋回戦じゃ分が悪くなって、全部武装をおろした裸の状態で初めて互角くらいの性能でやり合えるってことだよね。だから相手の得意な旋回戦を避けて重武装を生かした立ち回りがいいよねってことがわかるわけだ。
そしてF-4は性能としても決して見劣りするわけではないわけだから、単に戦果を挙げられないってのは使い方がヘタクソだからってことにもなるよね(笑)
煽るバカは放っといて他の人に言うけど、F-4Fに寄った意見は↑みたいになるよ。mig21bisに寄ると、旋回も加速も実戦的な最高速もミサイル機動力も優れるmig21bisと比べて11.0の価値ある?って木の発言は真言だと思う。10.7にするとF-104Jの完全上位互換だけど
こいつ解体爆弾持てるやん...新しいおもちゃ見つけたわ(ニチャア)
ナにそれ?
3000lbのことじゃない?
aim9L乗っけさせてくれー https://www.youtube.com/watch?v=Dx4JLUD86A4
祝10.7行き!多少は戦いやすくなるのかな?
12.0と当たらないだけでもかなりのアドバンテージを貰える気がするねー
ファントムの中では曲がる方、9J×4本、フレアチャフ90発で10.7か。12.0解放と同時だしそれなりに楽しそう。
10.7になったから開発しようかと思ってる。CM以外はイベントF-4Fと同じだし、CM90発も持てるのが魅力的。追記:CCIPがあるのも大きい