F-4EJ Phantom II コメント欄
https://wikiwiki.jp/warthunder/F-4EJ Phantom II
JACK
fds10
通報 ...
ほんとこいつBR圧縮の被害者だよな、同格にF-4Eとかの上位互換がいるっていう
11.3から上は皆PD持ってて対空でもSARH撃ってくるから、マジで11.0トップマッチ以外何もできない。こいつに限らず11.0のファントム全部同じだけどね。
まぁでも米F-4EはまだDFスパロー持ってるから近距離でもいけるけど、こいつは無印Eだしなぁ……対地兵装もないし。下手すりゃCCIP,RP取り上げられる可能性だって秘めてるし
でもEだってキツいし正直誤差程度だと思う
AIM-7E-2(DF)も固定スラットも無いのだからせめてAIM-9Lさえ貰えたらなぁ。AIM-9Pがレーダースレイブする点だけはAIM-9JのF-4Eに勝っているけど、AIM-9Gのクルナスと比較すると完全下位互換になるのはなあ。
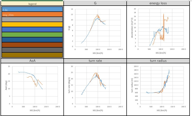
MiG-23M<話は聞かせて貰った(R-23:7E下位互換,フレア12発, 加速どっこい, 旋回どっこい)まぁ真面目に、低空で使いやすい武装がないのは痛いけどね
MiG-23とF-4でくるくるしてると、重いF-4が付いていけなくなって地面に突っ込まない?
MiG-23なら主翼を開けばF-4系に格闘戦じゃ負けないとは思う。低速になればなるほどMiG-23の方が明らかに動きが良いし。
加速どっこいと旋回どっこいはないのでは
ほい。旋回は500m@20分燃料

700-1000kmあたりは23が有利でそこから下はどっこいって感じか? 可変翼とフラップでどう変わるかかね
これ可変翼100%と0%の別々のデータはあるの?
固定スラットの有るF-4Eでなくてスラットの無いF-4EJだとどう変わるのかな
可変翼0固定はないね。旋回良くなるから700kph-の優位は広がると思う(特にエネ保)。加速の似たeと旋回の似たcとの比較ですまないけどね。まぁまぁMiG23Mの方が性能良いのは分かるけど、それでも自分はACMモードと7Eと90発フレアのあるF-4EJのほうが使いやすかった(から10.7に下げるのは23Mなべき論者)。エンジン爆熱過ぎてIRM吸引機なのを除いてね
F-15Jにつられて放置してたこいつを使い始めたけど未改修だとすっごくきついね...未改修なら当たり前だろって言われそうだけどレシプロより圧倒的にハンデでかいしRPも多い
芝刈りするんじゃ…芝刈りはすべての未改修機を救う…
正直味噌積む意味がないくらい弱い。A/B炊いてる敵にすら当たらんし、レーダーはロックしないし、ロックするのは1km以内まで近づかないとロックしないし、撃てる状況にならない。粉う方なきゴミ
嘘、めっちゃロックするわ。虚空を
アプデ入ってからボトムしか引かなくなって基地爆も芝刈りもする間もなくミサイルに殺されることしかできなくなってしまった もうF-16AJかEJ改までとばしたほうがいいのかな どうしたらこの機体でRP稼げる?
開幕の長距離祭り終わるまで待ってから戦い始める
こんなごみを唯一のランクVII機体に配置するのは悪意に満ち溢れていないか?
顔真っ赤ikea
この子実際どうなん?結構辛口に書かれててビビってるんやけどそんなに酷いんか?
カス、こいつを乗り越えるのに爆撃しか出来なかったから苦痛すぎてやばかった
EJ改が0.7低く使えるの強いじゃ〜んって思ってたけど武装酷いねLワインダーすら積ませて貰えて無いとか厳しそう…Pワインダー無いT-2みたいや…
現環境でPDレーダーもDFも9Gも無しで11.0はちょっと……
糞程低出力レーダーのf104s、ACM無ロック範囲激狭のj-8b、7E以下の23R持ちmig-23m <...。この機体に文句言ってるようじゃまだまだだね。全国家乗ってるけどまぁまぁスタンダードな性能だ
J-8Bは最強PL-5B使えるし23Mも母機のレーダーがチャフに欺瞞されないし23Tもそれなりに使えるじゃん。そしてどっちもそれ使わなくても代替機が居るじゃん。イタリアは開発してないから知らんけど。イタリアフランスイスラエル以外最後まで開けてるけどその中だと壁としてはランク7に代替機が存在しないこいつが一番クソだと思うよ。まあ乱戦に9P打ち下ろせば無理じゃないけど
機体の評価に代替機とか発散させんな。各機体の良い部分を上げられるなら、この子はdowntierでの爆発的な攻撃力がそうだ。反論したいだけなら他所にいってくれ
10.0で遭遇する連中も大体チャフ持ってる現環境でPDないのに爆発的な攻撃力と言えるか……? 代替機言わなくても他の11.0と比べて微妙だと個人的には思うけど
クソから微妙に和らいだな…。それ大分違うぞ。CWシーカなんだから正対する限りチャフは貫通する。離脱してくならエネ削れるし味方に任せる。ここまでに0-2kill。上空制圧して下方に9P撃ちおろす。ここで0-2kill。あまってるミソで残敵掃討戦して0-1kill。大体2-5killの範囲に収束する。これがMiG-21bisならF-5相手にIRHAAMが通じず安定せず、MiG-23Mの23Tも同様。もちろんuptierなら21bisの方が使いやすいし、上で否定したF-104Sとかも爆撃適正はトップofトップとか各々役割はある(MiG-27,Su-22は無いかも)
まあ代替機ありという前提を使うなと言われればね(木の書き方からしてランク8開発に使おうと思ってると思ったので代替機という概念を出した)。CWだからレーダーコーンに入ってる間はチャフ貫通できるのはそりゃ知ってるけど回避されれば当たらないじゃんって思ったけどエネルギー削れればいいと考えるならまあトップだと他よりアリかもとは言われてみれば思った。ただ11.3引いた時点で上空制圧厳しくなるのに二か月前くらいに測定した時の11.0機のトップ率は2割しかなかったからトップ以外だと他より辛くなるこいつは他と比べるとやっぱ微妙だと思う。爆撃力も加味するならやった事ないからわからん
しかもランク8のEJ改・F-16AJを開発するのに絶対に乗らなきゃいけない呪いの機体。ものすごく弱いので敵にEJやADTWの名前が見えたら真っ先に狙う。
たまにあるトップマッチでBVRだ!と意気込んでもほとんどが低空を這ってるしそんな中で逆に高空に上がってくるやつは分かりきったような感じでサラサラっとチャフ撒いていともたやすく間合いを詰めてくる。なす術がねえ…
現環境で高度取るようなやつは絶対と言っていいほどチャフ持って来てるんだよなぁ
チャフに撒かれる距離角度なのは改善の余地はあるけどね…。間合い詰めらる前に味方側に逃げれば?イタズラに高度取ると孤立するだけなんで、高度そこそこにルックアップした方が味方連携もロック安定も見込める。こいつの評価低いのはレーダーの手動操作を知らず馬鹿正直に敵に正対してインファイトに持ち込まれてるか、または、uptier戦場でボコられて顔真っ赤のどっちか
レーダーを上向きで固定する機能って今のところ無いよね?中途半端に縦の走査範囲が広いせいで低空じゃ104よりロックしづらい…。
レーダー/IRSTにおける傾斜のz軸操作で任意の位置に戦闘中に調整することはできますよレーダーページリンク
ありがとうございます!
低空戦闘が主流の現環境と非PDレーダーの組み合わせが絶妙に合わなくてつらい…
ほんと基本誰も上がってこないよね〜、低空にいるとエロビデオでも見れるサービスがあるのかと思うぐらい
意外と陸RBで普通に強くてビックリしてる。順当に性能が上がったサンダーチーフみたいに使えるのね……
YouTubeで敵ミサイル発射を探知して警告受けてる動画があったけど、レーダー誘導の場合だけ探知できるの?
対応バンドのSARHミサイルなら反応する。IRミサイルで鳴るのは現状だとF-111だけ
SARHならF4でも警告出るの?
"ミサイル警報”みたいな表示なら出ない、RWRにSARHの誘導波を検知したっていう表示ならRWRの場所に出る
それだいぶ古い動画じゃない? 昔は、それこそまだスパローがなかったぐらいの頃はミサイル攻撃を受けると画面に警告が表示されてた。
目茶苦茶格好良い開発終わって出撃せずにに目茶苦茶愛でてる
スパロー微妙だしレーダー弱いし機体性能も大したことないしフレアも貫通される、ボムカスしようにもF-4Sのほうが速いし発狂しそう。ただ、コメ欄見る限り11.0では普通な機体なんかね、11.0と11.3の差がデカすぎるだけで。ランク7まで進んでるのが日本だけだからわからん
他の11.0と言えばF-4EやMiG-21bis、MiG-23MらへんだけどどれもF-4EJより強いと思う。F-4EJって10.3の機体とかで当たっても脅威に感じないんだよな
F-4EJと比較すると上位互換なのはF-4E,Kurnassだけで、他11.0とは長短トレードの関係。ACM有無やSARH有無が大きい。downtierだと高高度登れないから強味が発揮できないゴミカスと化すだけで。高高度上がってもSARHは避けれるが、避けた後単騎で何が出来るでもなく追い詰められるだけなので。SARH合戦をするには7Eじゃ不足
バルカン内蔵してるし、格闘用の改修がないファントムだから、E/Sより速度で遅いことはないハズ…。対11.3で苦戦するのはどの11.0ファントムも同じかな。
本来はこっちのほうが速いのかぁ。9P吊ってるのがだめなのかなぁ
割り切ってガンポ積んでないとか、下の枝みたく最適化してるんだべなぁ。
ボムカスだけど、爆弾装備してない?ロケット装備の方が速度出るよ。でも11.0<<越えられない壁<<11.3ってのはマジ。11.3からPDレーダーでSARH持ちになるので、11.0と11.3は戦闘力が天と地ほども違う。ぶっちゃけPS同じなら逆立ちしても勝てない。
ロケットを4つ持っていってたのを2つにしたら爆速になった。
イギリスと中国以外残りのすべての11.0に乗ったけど別に圧倒的に弱いとは思わなかったな、フレアはタイミングが遅いか相手に近づかれ過ぎたりしない限り普通に仕事するし、スパローもCWだから高度取る相手には十分通用するし。レーダーも同じBRのファントムと変わらんしな(このBRでレーダー最強格はJA37Cだけどそこまで数いないし)9PやR-60等もこのBRのミサイルは相当近づかれてない限りフレアで欺瞞出来るし、逆に気付かれてたら当たないのもいつも通りだから。結論 強いとは言えないが悲観する程弱くない、THE普通と言ったところかな
コイツ改修してるけど辛過ぎるT-2系統ほど格闘戦が強い訳でも無くF-104ほど加速が良い訳でも無いせめてオールアスペクト持ちのミサイルがあればマシなんやけど無いどうすりゃええねん…
ひたすら低空ヘッドオンで爆弾開ける→ボムカスして9P開ける→あとは低空迂回上昇からの乱戦に9P撃ち下ろし→チャフ、ブースター、対Gスーツ優先改修でなんとかならん?
9Pとチャフ改修出来たからブースター頑張ってみるわ!
俺的ボーナスRPの回収終わったら2度と乗らないと思われる機体No.1
乗った感じそんなに悪く感じ無いわみんなF-15行ってて12.0の格上相手する事減ってF-5とかMig21とかドラケンみたいな2.5世代辺りの機体相手する事多いしけどオールアスペクトくれMig23とか相手するとき厳しいんよ
こいつPDレーダーもDFスパローもないのになんでF16とかmig29とかと戦わせられるの?
BR上限は大して上がってないのにずっとBR±1マッチングしてる害
スパローとサイドワインダー同時に積むのってどうやればいいの?
プリセット作る必要があるです。
乗ってる雰囲気はF-86とかみたいな機体は悪く無いのに活躍出来無い感覚なんよねぇレーダーが良い訳でも無くミサイルが強い訳でも無く機体が著しく曲がるとかでも無く日本ツリーやから日米対全世界みたいなマッチでボムカスSファンが閃光の如く溶けたり機体以外の環境で損してる要素がなぁ…0.3くらいで良いからBR下げてくんねぇかなそれか9L欲しい
各国やると分かるけど11.0は大体そんな感じ
ここ辛すぎて日空から逃げてる…あと四分の三でEJ改開発出来るんやけどなぁ…
ガンポ装備して脳筋ゴリ押しヘッドオンで相打ちするのが一番開発効率よさそう Pワインダー4本とEスパロー2本持ってくといざというとき打てるからいいかも 未改修は...がんばれ...
こいつの7E、直線移動してる相手にもすっぽ抜けるんだけどなんでなんだ?F-4E(無印)で使ったときはちゃんと当たったのに(E-2ではない)
E-2ドッグファイトスパローいい加減貰えんかな……架空装備は駄目だってのもこいつがスネークアイ持ってたり、F-15JがAIM-9M持ってる時点で崩壊してるだろうし
速度以外全てにおいて本家F-4Eに劣ってるのがなぁ… 史実装備だし9Lくらいなら許してほしい
その速度もこいつが最高BRだった時ならともかく今はもはや誤差だしもっと早い機体がゴロゴロいるからなあ
正直速度なんかより曲がれないことのデメリットが大幅に勝るのがなぁ……
スパロー没収で10.7でよくね、それが一番平和
史実でスパロー持ってたから没収は無いと思うぞっぱ9L渡すのが一番適当な気がする
ほぼ使われてないスパローのせいで10.7になれないの残念過ぎる
同格のJA37Cに勝ってるの武装の搭載量と燃費と9P積めることぐらいしかない。F-104Sとかいうガチの産廃もどうにかしてあげてほしい
JA37CのIRミサイルくん名称は違うがアレは9Pなのだ! まあ奴は王者だから別格としてもDFスパローくらい欲しい
11.3のPD持ち連中相手にどう対抗すればいいんですか…?(涙目)
11.0(PD無し)〈〈〈〈越えられない壁〈〈〈〈11.3(PD有り)って感じなので諦めよう
高度取ればレーダーもそこまで悪くないよ スパロー撃ったあとにチャフ撒かれてもCW誘導のおかげでスパロー側のシーカーが敵を捉えてれば当たるようになってる 少なくともSuper 530Fよりは強い
地面這ってガン。絶対優位に立てない。高度とっても、7Eも9Pも撃ち下ろしのバリュー低いので2,3000mも取れば十分すぎる。まぁケツとれば9Pでしばける11.3PDはまだ立ち回り次第。12.0相手は氏ねる。
こいつの機動性でケツ取れる東側機とかいるんですかね…あと地這ってもPDはロック外れないしクラッターでロックできないみたいなこともないと思うんですがそれは…
ロック外れなくてもツリートップならロック地面にズレてほぼ当たらないよ
(>1813)それ。回避し続ければ、味方が溶けない限りはいつかケツとれる時が来る。溶けてたら死ぬ。ゲームチェンジャーにはなれない(少なくとも格上相手には)。